1. LON-CAPA Logo
  2. Help
  3. Log In
 

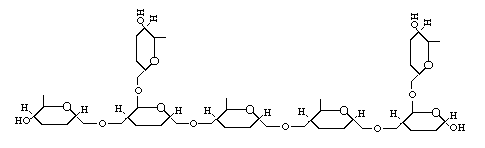
Polysaccharides

Starch is made by joining glucose molecules in what is called a 1,4 linkage. In each glucose molecule, Carbon atoms can be numbered from 1 to 6, starting at the end with the aldehyde group. When the 1 carbon of one glucose is linked to the 4 carbon of a second glucose, the resulting linkage is 1,4.


Glycogen is an animal polymer very similar to starch. Glucose units are also joined in 1,4 linkages, but in addition some side chains are added to the major chain by 1,6 linkages.

Images from http://www.npcts.edu/acad/biology/biol1260/carbohydrates.html